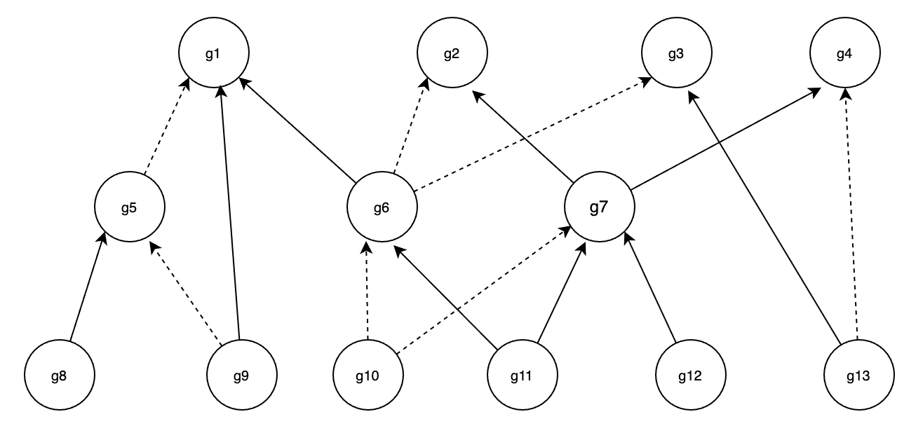
# Object(Object) hierarchies A object can reference other objects, and can also be referenced by other objects. For example, object_A references object_B, object_A is the superior object of object_B, and object_B is the subordinate object of object_A. There are two reference relationships between objects: `include` and `exclude`. ## Include Include is equivalent to the inclusion semantics in set theory. For example, when object_A is included by object_B, if a traffic attribute satisfies object_A, object_B is satisfied. ## Exclude A object defines a subset of an object type, such as network addresses or port numbers. The definition is made using items, which can be used to add to or exclude from the object definition. Objects can also have subordinate objects whose definitions are included in the superior object. There are rules of precedence to take into account when defining objects: - Excluding has precedence over including in the same object. - Items in a superior object have precedence over items in a subordinate object. - Items in a superior object are not taken into account in a subordinate object, if the subordinate object is used directly in a rule. - Peer objects (different subordinate objects of the same superior object) do not affect each other. In short, to determine the set defined by a object, perform the following calculation: 1. For each subordinate object (remember sibling objects do not affect each other): - Add included items. - Subtract excluded items. 2. Add included items in the object itself, overriding any excludes in the subordinate objects. 3. Subtract excluded items in the object itself. The following figure shows a object with an included set and an excluded subset. Now, consider adding a subordinate object. The subordinate object also has an included set and an excluded subset. If the superior object is used, the result is shown in the following figure “A superior and subordinate object”. As can be seen, the excluded item in the subordinate object is overwritten since it is in the included set of the superior object. Also, the excluded item from the superior object excludes part of the included item in the subordinate. If only the subordinate object is used in a rule condition, the superior object items are disregarded, leaving the set shown in the next figure, “The subordinate object”. Restrictions: - A object can only include or exclude objects of the same type. - A object should include at least one subordinate object. (Exclude only is not allowed) - Traffic attribute using stream scan cannot allow use object(object) with exclude, i.e., keywords object on HTTP Response Body, Email attachment. Now, let's see a graph of hierarchy example, where the dotted line means exclude. The matched subordinate objects and activated superiors are listed in the following table. Now, let's see a graph of hierarchy example, where the dotted line means exclude. If the matched subordinate objects: **{g11, g13}**, then activated superiors: **{g2, g7}**. The analysis process is as follows: **matched objects {g11, g13}** **Level 1**: g11 => incl{g6, g7} excl{null}, g13 => incl{g3} excl{g4}; new matched objects {g6, g7, g3}, `all matched objects` {g11, g13, g6, g7, g3} **new matched objects {g6, g7, g3}** **Level 2**: g6 => incl{g1} excl{g2, g3}, g7 => incl{g2, g4} excl{g6}; new matched objects {g1, g2, g4}, `all matched objects` {g11, g13, g7, g1, g2, g4} **new matched objects {g1, g2, g4}** **Level 3**: end Check the validity of `all matched objects` {g11, g13, g7, g1, g2, g4}: 1. g11, g13 are the originally matched nodes, so keep {g11, g13}. 2. g7 is derived from the match of g11, implying that g10 is not matched (if g10 is matched, then g7 is not matched, as the exclude priority is higher), so keep g7. 3. g1 is derived from the match of g6, but since g6 is excluded due to both g11 and g7, and g6 excludes g7 with higher priority, g1 is no longer matched. Therefore, remove g1 from the set. 3. g1 is derived from the match of g6, which in turn is derived from the match of g11. However, since g7 is also matched and g6 excludes g7 with higher priority, g7's match causes g6 to be unmatched, and consequently, g1 is no longer matched. Therefore, g1 is removed from the set. 4. g2 is derived from the match of g7, with the implied condition that g6 is not matched, so keep g2. 5. Finally, `all matched objects` {g11, g13, g7, g2}, `matched super objects` {g2, g7}. Remove the dotted line from g7 to g6, as shown in the diagram below. If the matched subordinate objects: **{g11, g13}**, then activated objects: **{g1, g6, g7}**. The analysis process is as follows: **matched objects {g11, g13}** **Level 1**: g11 => incl{g6, g7} excl{null}, g13 => incl{g3} excl{g4}; new matched objects {g6, g7, g3}, `all matched objects` {g11, g13, g6, g7, g3} **new matched objects {g6, g7, g3}** **Level 2**: g6 => incl{g1} excl{g2, g3}, g7 => incl{g2, g4} excl{null}; new matched objects {g1, g2, g4}, `all matched objects` {g11, g13, g6, g1, g7, g2, g4} **new matched objects {g1, g2, g4}** **Level 3**: end Check the validity of `all matched objects` {g11, g13, g6, g1, g7, g2, g4}: 1. g11, g13 are the originally matched nodes, so keep {g11, g13}. 2. g6 is derived from the match of g11, implying the g10 is not matched(if g10 is matched, then g7 is not matched, as the exclude priority is higher), so keep g6. 3. g1 is derived from the match of g6, which in turn is derived from the match of g11, implying the g5 is not matched, so keep g1. 4. g7 is derived from the match of g11, implying the g10 is not matched, so keep g7. 5. g2 is derived from the match of g7. However, since g6 is also matched and g2 excludes g6 with higher priority, g6's match causes g2 to be unmatched. Therefore, g2 is removed from the set. 6. g4 is derived from the match of g7. However, since g13 is also matched and g4 excludes g13 with higher priority, g13's match causes g4 to be unmatched. Therefore, g4 is removed from the set. 7. Finally, `all matched objects` {g11, g13, g1, g6, g7}, `matched super objects` {g1, g6, g7}. Again remove the dotted line from g13 to g4, as shown in the diagram below. If the matched subordinate objects: **{g11, g13}**, then activated superiors: **{g1, g4, g6, g7}**. The analysis process is as follows: **matched objects {g11, g13}** **Level 1**: g11 => incl{g6, g7} excl{null}, g13 => incl{g3} excl{null}; new matched objects {g6, g7, g3}, `all matched objects` {g11, g13, g6, g7, g3} **new matched objects {g6, g7, g3}** **Level 2**: g6 => incl{g1} excl{g2, g3}, g7 => incl{g2, g4} excl{null}; new matched objects {g1, g2, g4}, `all matched objects` {g11, g13, g6, g1, g7, g2, g4} **new matched objects {g1, g2, g4}** **Level 3**: end Check the validity of `all matched objects` {g11, g13, g6, g1, g7, g2, g4}: 1. g11, g13 are the originally matched nodes, so keep {g11, g13}. 2. g6 is derived from the match of g11, implying the g10 is not matched(if g10 is matched, then g7 is not matched, as the exclude priority is higher), so keep g6. 3. g1 is derived from the match of g6, which in turn is derived from the match of g11, implying the g5 is not matched, so keep g1. 4. g7 is derived from the match of g11, implying the g10 is not matched, so keep g7. 5. g2 is derived from the match of g7. However, since g6 is also matched and g2 excludes g6 with higher priority, g6's match causes g2 to be unmatched. Therefore, g2 is removed from the set. 6. g4 is derived from the match of g13, so keep g4. 7. Finally, `all matched objects` {g11, g13, g6, g1, g7, g4}, `matched super objects` {g1, g4, g6, g7}. The above example is strictly consistent with the case `ObjectExcludeTest.level_3_function` in the [test/object_nesting](../test/object_nesting/) test. Please run it to see the actual execution results.